
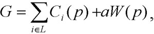
where p - the vector of domestic prices, Ci (p) - proposals from lobby group i, corresponding to the vector of domestic prices p; Wi (p) - the general welfare of the population group the interests of which promotes lobby i; a - the weight that the government attaches to the well-being of citizens (a> 0); L - a number of sectors of the economy that can organize pressure groups (i.e., lobbying).
In this model, the national economy of each state functions in free competition conditions, and the owners of the factors of production organize to create political lobbies. In exchange for the government`s actions in the interests of the lobby groups the latter offer support to those political forces that determine at the moment the trade policy of a state. The active political forces are at the same time aware of the interrelation between the size of support from pressure groups and their own political prospects - the probability of re-election. As a consequence, the target function of the active political forces (or the government) is the maximization of the above mentioned utility function as a weighted sum of support received from the lobby and general welfare of the population.
The game model of Grossman-Helpman of 1995 is a two-level model. The first level is a two-stage non-cooperative game with the participation of pressure groups and the national government of each country in which at the first stage the pressure groups select and offer the government their own versions of the foreign trade policy (maximizing general welfare of the population groups the interests of which they represent), which conform with the options of their support to the government, and at the second - the government selects and implement the foreign trade policy. Equilibrium in this game is the Nash equilibrium. National governments in this case have full information about the factual volumes of trade and receive all the duties and charges corresponding to their foreign trade policy.
The second level is a game with the participation of two independent states with similar political and economic systems. There is the opposition of the cooperative conduct to non-cooperative conduct of the "players": "trade negotiations," and a "trade war" between two states. The governments of the countries pursue an independent unilateral trade policy, then the process of their interaction in the international arena is "a trade war" (that can also be regarded as a result of failed negotiations between the parties). As for the negotiations, they are considered as maximization by the governments of each country of the following function:
where ? is a parameter that reflects the positive (?> 1) or negative (? <1) the dynamics of export subsidies and import tariffs, and ?* - a similar parameter for the counterparty country; R - positive or negative transfer payments by one state to another. The first term in this function reflects the overall result of pressure of the lobby groups on each government. Second - per capita income, measured by a parameter reflecting the government`s concern for the welfare of society. For the counterparty state this function will be symmetrical.
Grossman and Helpman do not specify the negotiating process content, only making the assumption that the governments are focused on the optimal result, in which the G level cannot be raised without reducing the G* level. Effective here will be regarded the selection by the governments of such trade policies that will lead to the maximization of the weighted sum of the parties` welfare, namely:
Thus, the parameters ? and ? * will be the object of the negotiations during which a decision may be made on the transfer of R in order to maximize the aggregate welfare of the parties.
The Grossman-Helpman model is one of the most illustrative examples of the game-theoretic approach to the economic modelling of processes of interaction in the international arena. Its main result was the understanding that non-cooperative behaviour of national governments leads to inefficient interaction between states, and independent domestic macroeconomic policies - mainly to the negative external consequences for other participants in international relations. As a consequence, an important condition for minimizing the external consequences of domestic political decisions was recognized their co-ordination between the states. Such coordination is not always the best strategy in economic models, however in general it leads to raising the well-being in the states that coordinate their policies. The economic models of international coordination of macroeconomic policies as such here have the optimization nature, and their main focus is on the international obstacles to supranational coordination of macroeconomic measures.
It should also be noted that one of the basic assumptions of economic models within the framework of international economics "de facto" is the premise that the states a priori interact in the conditions of anarchy, that is, in the absence of a centralized (supranational) control, similarly to the state itself in the society. Economists generally proceed from the assumption that the national governments either maximize the relative benefits of the social welfare function or minimize the social losses. In international relations, characterized by anarchic interaction of states, the economic rationality of the latter manifests itself in preferring the cooperation strategy, which allows sovereign states to reduce the costs of anarchic interaction (social losses) and maximize their benefits (social welfare function). In addition, as cooperation is more constant in time (time consistent), it becomes, under otherwise equal conditions, a more effective strategy for achieving the domestic policy objectives.
The use of the game theory and assumptions about anarchy has led to the domination of the supranational dimension in the works on international economics. In formal economic models of international interaction the impact of internal prerequisites (the internal economic or political situation) on the foreign policy strategy of states is often ignored. The main emphasis here is placed on the state`s position in the international system and on how it responses to the external conditions changes. International economics is more interested in the cross-border implications of the macroeconomic policy and their impact on the macroeconomic policy itself, rather than the influence of the interests of internal subjects (both state and private) on the process of making foreign policy decisions. This one-level systems approach implies that the national governments are neutral maximizers of social welfare, selecting the economic policy that the society needs.
Nevertheless, it should be noted that the role played by the national institutions, internal policy and non-state actors in making foreign policy decisions of some states, is more and more reflected in the theoretical works of economists. Moreover, at the conceptual level, the impact of domestic and private interests on the process of making foreign policy decision has been recognized in international economics for several decades; the empirical confirmations of the formulated theoretical models[13] significantly contribute to this. The emphasis here is also made on the fact that in practice politicians take into account not only the strategies of other states, but also the internal consequences of their actions. As a result, the process of making foreign policy decisions, as the Grossman-Helpman model demonstrates, becomes the game at two levels: the national and international.
International Political Economy
Along with the international economics that appeared in the second half of the 20th century, the theoretical groundworks by economists were integrated into the traditional "politological" paradigms of international relations. The works of economists devoted to the coordination of the macroeconomic policy (including works on the regional integration and international organizations) helped fill the void that formed between the traditional theoretical concepts of international relations and the changes in the international arena, which the world faced in the second half of the 20th century. Since the 1970`s, economic issues have been increasingly coming to the fore on the international political agenda (collapse of the world`s gold-exchange standard system, global oil crisis, economic recession in the most developed nations in 1974 and 1975, after two and a half decades of sustainable economic growth, etc.). Gradually, the gap between abstract politological concepts of international relations and reality made international relations researchers turn to the works of representatives of economic science.
By the end of the 1980`s, economic models used within the framework of the traditional politological paradigms of international relations brought about a new trend in international research - the international political economy (global political economy). In addition to the emerged contradiction between the theory and new economic realities, the key ground for this trend was the wide use of economic tools for the study of the internal political processes. The economic analysis methods became one of the most notable trends in the methodological development of political science of the second half of the 20th century. Thus, a number of inter-disciplinary areas at the junction of two sciences, the subject of research of which became politics and the research method - the methodological complex of economic science[14]. Beginning in the 1970`s, the economic models that were applied in the theoretical justification of the internal political processes gradually came into use also for the theoretical justification of international processes.
One more important factor in the development of international political economy should also be noted. This factor is the revival of political economy itself as a separate social science discipline. If before the beginning of the 20th century the economic and political thought were developing in close interaction, then in the 20th century their evolution took separate paths. This division eventually led to contradictions between theoretical concepts and reality. The close connection of economic and political issues in practice made unilateral approaches both of political and economic researchers ineffective. Attempts to explain how politics and economy interact at the present stage of human society development eventually led to the revival of political economy (including the appearance of works reexamining its Marxist version[15]), which took up the settlement of the emerged contradictions as its main task[16].
Thus, it is possible to highlight the three key prerequisites in the formation of the modern international political economy as a separate scientific discipline. The first - is methodological expansion of economics into political science. The second - the evolution of the economic methodology of the interaction processes in the international arena. The third - the revival of political economy as a separate social science discipline. These prerequisites ultimately determined the complex nature and methodological dichotomy of political economy as a separate school in international research. On the one hand, the contemporary international political economy deals with the study of political prerequisites of economic processes in the international arena (or how political factors influence the international economic relations and the world economy in general). On the other - it is the study of the economic prerequisites of international political processes (or how internal and external economic factors limit the external political processes). Both parts complement each other in political economy, and politics and economics here are in constant interaction[17].
Political economy is one of the "youngest" theoretical areas of the international processes study. Its methodological foundations are considered to be laid in the 1970`s - early 1980`s[18]. However, the formation of political economy as a separate scientific discipline began only in the late 1980`s, when the first comprehensive studies in this field appeared[19]. Over the past 20 years the international political economy has been considerably enriched both with theoretical and empirical materials[20].
From a formal viewpoint, the feature of the contemporary international political economy is the use of various methodological tools for modeling international interaction processes. The emphasis here is placed on either the role of the interests of non-state actors (citizens, pressure groups, businesses, etc.) in the process of interstate interaction (for example, in the international economic integration process)[21], or on the distribution of responsibilities between different levels of political decision-making: the national, regional, international, global[22]. The main thesis in both processes is usually that the benefits and costs of international interaction are distributed among their subjects not equally: there will always be the "losers" and "winners" (if not among the subjects themselves, then at least within them). As a consequence, the general economic efficiency of any foreign political or foreign economic decision for a subject of international interaction may be insufficient for its implementation due to the lack of political support for such a decision within the subject. As for the question of costs and benefits of decision-making in international interaction processes, the general idea in political economy models is that any international agreement leads to saving of international interaction costs. The latter in political economy models most often takes the form of saving the costs of provision of public goods (both international and within states). The economic prerequisites and factors here come to the fore, and alternative dimensions of international relations (e.g., cultural differences) are either not taken into account or put on the second place.
One of the most well-known political economy models formulated by A. Alesina and I. Spolaore in their work of 1997 dedicated to the study of the optimal number and size of sovereign jurisdictions[23] can serve as an example here. In this model the formation of a sovereign state is a result of a certain compromise between the benefits of a wide political jurisdiction that is common for states with a large territory and the costs of heterogeneity of the population in such states. A. Alesina and I. Spolaore proceed from the following assumption in building their model: the cost of providing public goods per capita is reduced as the number of individuals who finance them increases; the growth of the size of a state (political jurisdiction) leads to an increase in social revenues; differences in the interests of people positively correlate with the size of the state (in small countries with relatively homogeneous population, the results of public choice are closer to the preferences of the average voter than in larger, more heterogeneous states)[24].
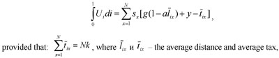
In order to simplify the modeling process, A. Alesina and I. Spolaore combine a set of administrative, legal, economic, political services in each nation (country) in their model under one single public good that they call the "government." The world`s population is taken as 1, and the population of countries is arbitrarily evenly placed along the line segment [0,1], which has ideal points for each government. The utility of individuals is decreasing along with the increasing distance of their government from these ideal points[25]. Each country has one government and has to finance it and get benefits only from its government. There should be at least one government in the world. Thus, if we denote the number of countries (governments) by N, N ≥ 1. The costs for each government are equal to k, regardless of the size of the country. Every individual has one and the same level of income y and pays the tax ti. Thus, the utility of each individual i is:
where g and a are two positive parameters, and li represents the difference between the preferences of an individual i and the government of his country (i.e., the provided public good). Thus, the utility function is linear. The parameter g represents the maximum utility of the public good when li = 0, and the parameter a - decline in utility that an individual faces when the government falls short of individual`s preferences (decline in the marginal utility of the government services when the government is at a distance of li from individual`s preferences).
In their later models A. Alessina and I. Spolaore assume that individuals, who demonstrate similar preferences, reside geographically homogeneously and are immobile. Thus, li in the above function reflects both differences in individual preferences and the geographical distance between them. The countries` boundaries are determined in the model endogenously. However, the geographical position of each individual is fixed.
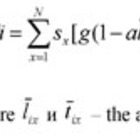
The further task that is set in the model is to determine the optimal number of countries with the minimal costs for individuals. The solution to this task can be formally represented as the maximization of the sum of individual utilities of individuals, that is:
respectively, in the country x, and sx - size of country x. will be minimal for given N, if the public good is located in the center of each country. Thus, the average distance for each country is equal to sx/4, and the task of the optimal (efficient from the economic viewpoint) number of countries can be formulated as:
countries of the same size are selected s=1/N. Consequently, the solution of the task set above for N is: 
an integer in the interval (M,M+1). Then the effective number of countries will be N`, if and only if s`=1/N` gives average utility at least equal that is given with the size s=1/N", which is possible if an only if:
The Alesina-Spolaore model assumes that if the simple majority rule is used in each country for collective decision-making, as well as a proportional tax system with the same tax rate for each individual, the optimal political map of the world would be that in which each government is located in the center of each country - this choice minimizes the average distance between the government (the focus of public good), and the citizens` preferences. Simultaneously taking into account the uniform distribution of preferences of individuals in the model, the average value of utility will be the maximum with the same size of countries. And the number of countries will be optimal if there is equilibrium between the average level of taxes and the distance between the form of government and citizens` preferences. An increase in the number of countries per unit will lead to a higher tax burden on each individual and shortening of the average distance. Such an increase will take place (i.e., it will be approved by individuals), if the benefits from shortening the distance exceed the costs of the higher individual tax burden.
Thus, the subject of the theoretical study of the Alesina-Spolaore model is a balance between the number of countries, the degree of democratization and economic integration that allows us to state the following: the process of democratization leads to secession (as evidenced by the larger number of countries with democratic regimes than non-democratic in the world); the democratic process leads to an inefficiently large number of countries; the equilibrium number of countries is growing with the intensification of international economic integration[26]. In other words, the spread of democracy can lead to political decentralization (i.e., an increase in the number of sovereign entities). And the strengthening of economic integration between countries reduces the need for political integration. The problem of political disintegration will be relevant to the extent that the net economic integration effect is negative on social welfare.
The most important theoretical conclusion drawn from the Alesina-Spolaore model is that the structures of sovereign entities that are resistant to division are possible and, moreover, can be economically efficient under the assumption that any region is at liberty to secede and form new sovereign entities (which eventually leads to equilibrium). However, the one-dimensionality of the study by A. Alesina and I. Spolaore (as a result of the use of very strict assumptions, such as uniform distribution of the world`s population and its immobility) highly simplifies their model. Subsequent theoretical studies have shown that once new dimensions are added to the Alesina-Spolaore model, its main conclusions cease to be true[27].
The above considered political economic model of international cooperation is one among many. Modern political economy studies encompass most diverse areas: from the processes of centralization and decentralization of decision-making in the international arena to the relationship between economic and political integration. As a result, the spectrum of political economic models of international relations is very broad. Political economic models differ primarily in the method of modeling of the international interaction process. The selection of the approach to modeling here largely depends on what aspect or process of international interaction is the subject of a theoretical study.
Making a conceptual comparison of the theoretical approaches applied by international economics and by international political economy, it is possible to identify three most evident methodological differences of the second from the first. Firstly, it is an attempt to integrate the national and supranational political and economic processes in the conceptual justification of the modern international system (the process of making foreign policy decisions in the political economic literature is seen as the result of transformation of domestic interests, taking into account their "understanding" by politicians[28]). Secondly, it is a broader subject field, including problems of international trade and economic development (in their political aspect), relationship between democracy and market relations, issues of global governance and global markets, various aspects of international cooperation in solving supranational economic problems and the study of the positions of non-state actors on that or other measures of supranational macroeconomic policy, etc.[29] Thirdly, it is the parallel use of the methodology of the traditional "political science" concepts of international relations and the analytical tools of economic science.
General principles of economic modeling of international interaction
An analysis of the research tools of international economics and international political economy shows that the use of the methodology of economic science in the study of the processes of interaction in international relations leads to the construction of strict formal models of making decisions by interacting entities, the main feature of which is their reliance on the economic and mathematical methods that are traditional for economic analysis in general. Simultaneously, at the present stage of economic knowledge development the use of the economic science methodology to justify international events and processes is characterized by the application of a wide range of theoretical models. The variety of used models can be explained primarily by the fact that decision-making in international relations is complicated by the influence of a wide range of different internal and external factors and the apparent incompleteness of information about the impact of these factors and their internal relationship (in particular, the extent of foreign trade restrictions can be influenced by such factors as the structure of the market, of the analyzed products; the degree of competition in the industry; the technological level, etc.). In addition, in practice, the subjects of international interaction very rarely have identical (as in the above Grossman-Helpman model) or at least similar in structure economic and/or political interests.
The coverage by the economic models of international interaction of a relatively limited range of factors determines the specificity of their application sphere, like: trade relations, economic integration matters, currency and financial relations, etc. This situation creates the need to determine the general for these models theoretical and methodological justifications that would not only make it possible to minimize the subjectivity of concrete models and reduce the costs of deficiency of the basic data, but also would be applicable to a broader class of events. In addition, the latter could help work out the general approach to the economic modeling of the issue of decision making in international relations.
The review of theoretical approaches within the framework of international economics and international political economy makes it possible, as a minimum, to identify the following methodological aspects that are common for these directions of economic modeling of the international interaction processes.
Firstly, the formal side of economic models of international interaction (both game-theoretical and political economic) is usually based on the selection by the parties of the decisions that maximize subjective well-being, i.e., on the maximization of the subjective utility functions. At the same time the main task of the theoretical constructions in both cases is the search for equilibrium in which the institutional side of international relations is efficient and stable.
Secondly, the main alternatives for the subjects of international relations in the process of their interaction are limited and independent (from the interests or preferences of other subjects of international relations) actions. The main difference between the game-theoretical economic models of international interaction and the political economic ones is that the former pay special attention to external factors, that is, proceed from the assumption that actions of subjects of international relations in their interaction (in other words: the process of decision making in international relations) are limited by the interests of other subjects of international relations; and the latter put internal factors to the forefront, that is, proceed from the assumption that actions of subjects of international relations, one way or another, are determined (or limited) by the public opinion, domestic economic interests, etc.
Thirdly, the development of economic models of international interaction today has taken the path of inclusion in them of new factors that appear in the course of their empirical verification. One of such factors, for instance, is incomplete information and the related problems of decision making in the conditions of uncertainty, which is reflected in new definitions, additional properties, new principles and approaches. The selection of an approach to modeling in this case directly depends on the amount and structure of available data, as well as on the degree of subjectivity of perception of the sides that make decisions. All the approaches at the same time are in one way or another characterized by uneven measurement of the value of parameters and use either their averaging or the probability theory apparatus as the main methods of the resolution of uncertainty.
Thus, the overview of the existing theoretical approaches to economic modeling of international processes, given above, "depicts" the economy of international relations as a process of interaction the nature of which depends on the correlation of the benefits and costs of the alternative decisions that the participants in this process have. The necessary economic condition of the actions taken by subjects of international relations is the excess of expected utility of these actions over expected utility of decisions alternative to them. In view of the fact that the main (basic) alternatives in the process of international interaction (at the contemporary stage of their development) are the coordinated (with the interests or preferences of other subjects) actions and independent (from other subjects and interests) actions, this condition for decision making can be mathematically written as follows:
In economic modeling of international interaction processes each subject of international relations seeks to satisfy its interests, which is expressed in the aggregate goal variable of its actions. However, a one-level approach to the modeling of international interaction is not sufficient for the explanation of contemporary international processes, which requires widening of the spectrum of the considered factors that determine the actions of subjects of international relations. In other words, an important condition to understand the nature of contemporary international processes is the incorporation of the level of internal social restrictions of foreign political actions into theoretical models. The model of decision making in international relations should take into account how the external (international) factors change the picture of interests inside the subjects of international relations (for instance, the picture of interests in the society within sovereign states or the interests of non-state participants in international relations). All this predetermines the use of a multilevel utility function in the economic model of decision making in international relations[30].
It is also necessary to note here another general methodological premise for any economic model of international interaction. As mentioned above, the use of mathematical tools of analysis in economic modeling leads to the orientation of economic analysis towards the search for optimum equilibriums. The main benchmark in the search process is the Pareto efficiency concept. According to the concept, any condition in which utility of one participant in relations cannot be increased without decreasing utility of the other, is efficient. In the process of interaction, the subjects of relations, acting rationally, can by means of redistribution of goods (through concluding agreements) reach the Pareto efficiency frontier.
* * *
The theoretical-methodological premises of the economic modeling of interaction processes in the international arena outlined in this work, in the author`s view, are sufficient to raise the issue of the direct use of the economic science methodology for the complex theoretical conceptualization of not only international cooperation in the economic sphere, but also international relations in general. The modern economic theory has the methodological tools, which, when considered together, can form a separate theoretical approach in international research. Moreover, the application of the methodology of economic science as a theoretical tool in the study of the processes of interaction in the international arena makes it possible to take a new look at international processes and origins of the modern system of international relations, which can give an impetus to the unification of the framework of categories and concepts in the study of international relations.
Economic Analysis of International Interaction: International Economics and International Political Economy.
By A.G. Oleinov
Summary: The article reviews two mainstream modern economic theories of international interaction processes: international economics and the political economy of international relations. Each of the trends is considered through the prism of its formal foundations, as well as distinctive features against each other. It makes an attempt to formulate the general theoretical and methodological foundations of international interaction economic modeling.
[1] Anton Gennadyevich Oleinov - Candidate of Economic Sciences, Associate Professor, Department of Economic Policy and Public-Private Partnership of the MGIMO (U) of the MFA of Russia. E-mail: oleinov@mgimo.ru
Key words
International Economics, International Political Economy
Notes
[1] For example, ref: Viner J. The Customs Union Issue. N.Y., 1950; Meade J. The Theory of International Economic Policy, 2 Vols. L., 1951-1955; Mundell R. The Pure Theory of International Trade // The American Economic Review. 1960. N1; Balassa В. Trade Creation and Trade Diversion in the European Common Market // The Economic Journal. 1967. N77.
[2] For example, ref: Bryant R. Money and Monetary Policy in Interdependent Economies. Washington, 1980; Williamson J. The Exchange Rate System. Washington, 1983; International Policy Coordination and Exchange Rate Fluctuations. Eds. W.H.Branson, J.A.Frenkel, M.Goldstein, Chicago, 1990.
[3] For more detail, see: Funabashi Y. Managing the Dollar: From the Plaza to the Louvre. Washington, 1988.
[4] For example, ref:: Rogoff K. Institutions for Reducing Global Financial Instability // Journal of Economic Perspectives. 1999. N4; Sercu P., Uppal R., Exchange Rate Volatility, Trade and Capital Flows Under Alternative Exchange Rate Regimes. Cambridge, 2000; Yu. Danilov, V. Sednev, E. Shipova. Financial Architecture of Post-Crisis World: Efficiency and/or Justice? // Voprosy Ekonomiki. 2009. No 11; Obstfeld M. The International Monetary System: Living with Asymmetry // CEPR Discussion Papers. 2011. N 8703.
[5] Kindleberger C.P. International Economics (1-5th Editions). Homewood, IL: Richard D. Irwin, 1953-1973; Kindleberger C.P., Lindert P.H. International Economics (6-7th Editions). Homewood, IL: Richard D. Irwin, 1978, 1982; Krugman P.R., M.Obstfield. International Economics: Theory and Policy (1-8th Editions). London: Pearson, 1988-2009; Salvatore D. International Economics - Theory and Problems (1st-4th Editions). NY: McGraw-Hill, 1976-1996.Salvatore D. International Economics (1st-10th Editions). NY: Macmillan; Prentice-Hall; Wiley & Sons, 1983-2010 and others.
[6] International Economic Relations / ed. I.P. Faminsky. Moscow: Yurist, 2004; International Economic Relations / ed. by V.A. Rybalkin. Moscow: Unity-Dana, 2008; International Currency-Credit and Financial Relations / ed. L.N. Krasavina. Moscow: Finance and Statistics, 2008; World Economics and International Economic Relations / ed. A.S. Bulatov, N.N. Liventsev. Moscow.: Magistr, 2008 and others.
[7] Simultaneously it is possible to find the classification that is characteristic of foreign works in the works of Russian economists. See: V.P. Kolesov, M.V. Kulakov International Economics. Moscow: INFRA-M, 2011.
[8] It is worth to mention in this context the approach of A.P.Kireyev who advocates for the expansion of the scientific field - traditional for Russia`s international economic research school - to the extent of international economics as "part of economic science that studies the laws of development of nations in terms of their economic interaction" (A.P. Kireyev. Pioneers of International Economics // Milestones of Economic Thought. Vol. 6. International Economics. / translation from English, edited by A.P. Kireyev. Moscow: TEIS, 2006. p. 10). He also proposes the following division: International microeconomics - international movement of goods, services and factors of production, and government policy regulating them; and international macroeconomics - the state economic policy in the conditions of an open economy [Ibid].
[9] For example refer to: Hamada K. A. Strategic Analysis of Monetary Interdependence // Journal of Political Economy 1976. N 84.
[10] Barro R. J., Gordon D. B. Rules, Discretion and Reputation in a Model of Monetary Policy // Journal of Monetary Economics. 1983. N 12 (1); Oudiz G., Sachs J. Macroeconomic Policy Coordination among the Industrial Economies // Brookings Papers on Economic Activity. 1984. N 1; Miller M., Salmon M. Policy Coordination and Dynamic Games // W. Buiter, R. Marston (eds.). International Economic Policy Coordina-ti-on. Cambridge, UK: Cambridge University, 1985; Currie D., Levine P., Vidalis N. International Cooperation and Re-putation in an Empirical Two-Bloc Model // Bryant R., Portes R. (eds.). Global Macroeconomic: Policy, Conflict and Cooperation. Lon-don: Macmillan Press, 1987; McKibbin W. The Economics of International Policy Coordina-tion // Economic Record. 1988. N 6 (187).
[11] Lapan H.E., Sandler T. To Bargain or not to Bargain: that is the Question // American Economic Review. 1988. N 78; Obstfeld M., Rogoff K. Exchange Rate Dynamics Redux // Journal of Political Economy. 1995. N 103; Dixit A. A Repeated Game Model of Monetary Union // The Eco-nomic Journal. 2000. N 110; Obstfeld M., Rogoff K. Global Implications of Self-Oriented National Monetary Rules // Quarterly Journal of Economics. 2002. Vol. 117 (2); Lai E. Theory of International Policy Coordination in Protection of Ideas // K.E. Maskus (ed.). Intellectual Property, Growth and Trade. Elsevier, 2008.
[12] Grossman G., Helpman E. Trade Wars and Trade Talks // Journal of Political Economy. 1995a. Vol. 103(4). This model was formulated on the basis of the Grossman-Helpman game-theoretic model of the formation of foreign trade policy of 1994. (Grossman G., Helpman E. Protection for Sale // American Economic Review. 1994. N 84), which is one of the most frequently used game models in today`s economic works. Its use encompasses not only the spheres of the formation of the foreign trade policy (Afontsev S.A. The economic and political model of unification of the import tariff: the Russian perspective // Economic Education and Research Consortium (EERC). Series "Research Papers". 2004; Kolomak E.A. Regional protectionism in Russia: positive analysis. Moscow: EERC, 2005), and international trade (Gawande K., Sanguinetti P., Bohara A.K. Exclusions for Sale: Evidence on the Grossman-Helpman Model of Free Trade Agreements // NAFTA-MERCOSUR Working Paper No. 4. University of New Mexico. 2005; Hagemejer J., Michalek J.J. The Political Economy of Poland`s Trade Policy: Empirical Verification of the Grossman-Helpman Model // Eastern European Economics. Vol. 46. 2008; Karacaovvali B. Free Trade Agreements and External Tariffs // Fordham University Department of Economics Discussion Papers. 2010. N 3);, but also such spheres as political elections (Grossman G., Helpman E. Electoral Competition and Special Interest Politics // Review of Economic Studies, 1996. N 63(215); Prat A. Campaign Spending with Office-Seeking Politicians, Rational Voters, and Multiple Lobbies // Journal of Economic Theory. 2002. N 103(1)) and legislative process (Dharmapala D. Comparing Tax Expenditures and Direct Subsidies: the Role of Legislative Committee Structure // Journal of Public Economics. 1999), taxation (Marceau N., Smart M. Corporate Lobbying and Commitment Failure in Capital Taxation // CESifo Working Paper. 2002. N. 676) and government policy in general (Dixit A., Grossman G., Helpman E. Common Agency and Coordination: General Theory and Application to Government Policy Making // Journal of Political Economy. 1997. N 105; Mazza I., van Winden F. Does Centralization Increase the Size of Government? The Effects of Separation of Powers and Lobbying // International Tax and Public Finance. 2002) and others.
[13] See, for example: Goldberg P., Maggi G. Protection for Sale: An Empirical Investigation // American Economic Review. 1999. N 89; McCalman P. Protection for Sale and Trade Liberalization: An Empirical Investigation // Review of International Economics. 2004. N 12 (1); Gawande et al., 2005; Gawande K., Li H. Trade Barriers as Bargaining Outcomes // World Economy. 2006. Vol. 29.
[14] For more detail, see: A. Oleinov. Political Process through the Prizm of Economical Science: Complex Approach // Polis. 2009. No 4.
[15] See, for example: A.V. Buzgalin, A.I. Kolganov. The Limits of Capital: Methodology and Ontology. Re-actualization of Classical Philosophy and Political Economy. Moscow: Cultural Revolution, 2009.
[16] Overview of modern works on political economy see: Dewan T., Shepsle K.A. Review Article: Recent Economic Perspectives on Political Economy. Part I, II // British Journal of Political Science, 2008. N 38 (2, 3).
[17] "International political economy - is the science dealing with interaction of economics and politics in the international arena" [Frieden, J.A., D,A.Lake, J.L.Broz. International Political Economy: Perspectives on Global Power and Wealth (5th Edition). W. W. Norton & Company. 2009. P. 1]. In other words, international political economy is an interdisciplinary sphere of research of international relations, using the methodology of various social science disciplines, the key of which are political science and economics. The interdisciplinary nature of international political economy as a scientific field predetermines the dual nature of its subject matter, which, on the one hand, deals with the impact of political factors on international economic relations, and on the other, with the impact of economic factors on the world political processes and the system of international relations.
[18] Bergsten C.F., Krause L.B. (eds.). World Politics and International Economics. Washington, D.C.: Brookings, 1975; Spero J.E. The Politics of International Economic Relations. London: Allen & Unwin, 1977; Keohane R., Nye J. Power and Interdependence. Boston: Little, Brown & Co., 1977; Katzenstein P.J. (ed.). Between Power and Plenty: Foreign Economic Policies of Advanced Industrial States. Madison: University of Wisconsin Press, 1978; Sandler T. (ed.). The Theory and Structure of International Political Economy. Boulder, Colo.: Westview, 1980; Gilpin R. War and Change in World Politics. Cambridge, UK: Camb-rid-ge University Press, 1981 и др.
[19] Gilpin, R. The Political Economy of International Relations. Princeton University Press, 1987; Frieden, J.A., D,A.Lake (eds.). International Political Economy: Perspectives on Global Power and Wealth. St. Martin`s Press. 1987.
[20] Frieden, J.A., D,A.Lake (eds.) International Political Economy: Perspectives on Global Power and Wealth (1-4 editions). St. Martin`s Press / Routledge. 1987-1999; Gilpin, R., J.M.Gilpin. Global Political Economy: Understanding the International Economic Order. Princeton University Press, 2001; Oatley, T. International Political Economy: Interests and Institutions in the Global Economy (1-5 Editions), Pearson / Longman, 2001-2011; Cohn T.H. Global Political Economy (1-5 Editions). Addison-Wesley/Longman. 2000-2009; Ravenhill, J. (ed.). Global Political Economy (1-2 Editions), Oxford University Press. 2005-2008; Frieden, Lake, Broz, 2009; Frieden, J.A., D,A.Lake, K.A.Schultz. World Politics: Interests, Interactions, Institutions. W. W. Norton & Company. 2009.
[21] The focus here is on how the economic benefits and costs of the national governments` decisions in the international arena affect their popular support inside the country. See Ruggie J. Collective Goods and Future International Collaboration // American Political Science Review. 1972. N. 66; Snidal D. Public Goods, Property Rights, and Political Organizations // International Studies Quarterly. 1979. N. 23; Frey B. The Public Choice View of International Political Economy //International Organization. 1984. Vol. 38; Frey B. Strengthening the Citizens` Role in International Organizations // Review of International Organizations. 2006. N. 1; A.O. Belyakov. On the Dynamics of People`s Unions / Preprint # BSP/2007/094 R. - Moscow: New Economic School, 2007 and others.
[22] См. Vaubel R. The Public Choice Analysis of European Integration: A Survey // European Journal of Political Economy. 1994. N. 10; Hemming R., Spahn P. European Integration and the Theory of Fiscal Federalism // M.Bleyer, T. Ter-Minassian (eds.) Macroeconomic Dimensions of Public Finance. Washington DC: IMF, 1997; Hooghe L., Marks G. Types of Multi-Level Governance // European Integration online Papers (EIoP). 2001. Vol. 5 (11).
[23] Alesina, Spolaore, 1997. The Alesina-Spolaore model became one of the first political economic models that gives a formal feasibility study of the formation of the political map of the world. A similar object of study and similar theoretical constructs can also be found in the model of Bolton & Roland, 1997).
[24] In their work A. Alesina and I. Spolaore also highlight such benefits of broad political jurisdiction as that counteraction to specific macroeconomic shocks is more costly for small countries, and the fact that security issues also directly depend on the size of countries. However, the formal model proposed by them does not cover these aspects.
[25] In other words, each country is represented by an interval on the segment [0,1], in the center of which is the "capital" where the provision of public goods takes place. The farther an individual is placed in the interval, the less preferable is the government for him.
[26] Alesina, Spolaore, 1997, p. 1027-1028. According to the model in which the provision of public goods and political integration are based on the simple majority rule, there will be very many small sovereign entities that have equilibrium. The population at the borders of any country will always have more economic incentives for the formation of new countries for getting the public goods more corresponding to their preferences. When the public choice is not democratic and the governments are determined by the interests of individuals whose primary goal is to maximize net tax revenues, the degree of political integration will be higher.
[27] For example, when the population is distributed unevenly and arbitrarily, a stable division into sovereign entities will not always exist. Moreover, the process of the formation of new countries and the reorganization of the existing ones can become chaotic, which generally raises the question of possibility of any formal mathematical modeling at all. See, for example: Dreze J., Le Breton M., Savvateev A., Weber S. Almost Subsidy-Free Spatial Pricing in a Multi-Dimensional Setting // Journal of Economic Theory. 2009. Vol. 143 (1).
[28] The state bodies of authority, non-state actors of domestic political and economic, as well as foreign political and international economic processes, constantly exert political pressure in order to make politicians choose the policy that suits their interests. All this leads to a situation in which politicians should take into account the reaction inside the country to potential international agreements. The latter ultimately determines the actions of a state in the international arena: it may hinder the strategy of cooperation, despite the benefits, or promote this strategy, despite the costs. As a consequence, cooperation between states may be less determined by the national interests and maximization of well-being, than, for example, by the potential re-election of politicians.
[29] The globalization process here is an important component of the subject of political economy of international relations. If in international economics this process is viewed as a positive phenomenon in general, then representatives of political economy hold to a "neutral" stance here. In the view of political economists, globalization is a potentially irreversible process that leads to the standardization of national policies and institutions (liberalization of trade policy, the reduction of barriers to capital flows, the opening of financial markets, reduction of the government weight in the economy) and the growing influence of investment capital (transnational corporations, global financial institutions, etc.) on the national policy.
[30] It is important to note that there cannot be any single "exhaustive" utility function here. The wording and/or use of any specific function depends on the tasks of the researcher.
Полный текст этой статьи можете прочитать здесь: