Наличие стратегии предполагает способность заглядывать дальше, чем в ближайшую перспективу, и, что еще важнее, обращаться к причинам, а не симптомам – иными словами, видеть за деревьями тот самый лес[1]
Л. Фридман, пециалист в области стратегического планирования
Очевидно, что развитие ВПО в мире оказывает постоянное влияние на формирование стратегии государства, но существуют периоды, когда такое влияние становится радикальным, решающим. Это происходит накануне начала войн и военных конфликтов, когда грань между миром и войной становится условной и быстро преодолимой. Как правило, это происходит за несколько лет или даже месяцев, когда в рамках одного сценария развития ВПО происходит смена одного из вариантов на другой. Как правило, этот период может называться «переходным периодом» от силового противоборства к военно-силовому[2]. Именно в эти годы смены одного варианта на другой происходят и радикальные изменения в стратегиях государств, в том числе военных[3].
В качестве примера можно привести развитие сценария ВПО в 1939–1941 гг. в Европе, который в самом общем идее представлял собой вариант сценария войны Великобритании с Германией, но уже с декабря 1940 года (принятия «плана Барбароссы») менялся на вариант коалиционной войны против СССР. Причем, в процессе смены этого варианта 25 марта 1945 года произошло присоединение Югославии к гитлеровской коалиции, а затем перевороту в Югославии и незапланированной войне против Югославии и Греции. Другими словами, смена одного варианта на другой произошла при вмешательстве внутреннего фактора – переворота в Югославии – и начала войны гитлеровской коалиции против Югославии и Греции.
Таким образом, в 1941 году развитие сценария ВПО в Европе происходило по варианту сценария, запланированному в Берлине, – продолжение войны с Великобританией и массовой передислокации войск к границам СССР, мобилизации союзников (Венгрии, Финляндии, Румынии, Словакии) и подготовке военных запасов, которых должно было хватить для реализации кампании в 1941 году. Однако, неожиданные изменения в Югославии[4] потребовали внесения корректив в этот вариант, в частности, участия ВС Германии в войне на Балканах, которая отвлекла не только боеготовые войска, но и запасы ВВСТ от войны с СССР. В частности, например, против Югославии Германия использовала две группировки[5]:
– В южной Австрии, для удара по Югославии с севера была сосредоточена 2-я армия[6], в состав которой вошли четыре корпуса:
– в 46-й моторизованный корпус вошли 8-я и 14-я танковые и 16-я моторизованная дивизии;
– в 49-й горный корпус вошли 1-я горнострелковая дивизия и 538-й отряд пограничной стражи;
– в 51-й пехотный корпус вошли 132-я и 183-я пехотные дивизии и части 101-й легкопехотной дивизии;
– в 52-й пехотный корпус вошли 79-я и 125-я пехотные дивизии (корпус не успел прибыть к началу операции и считался в резерве).
– На территории Болгарии и Румынии были сосредоточены немецкие 12-я армия и 1-я танковая группа.
– в состав 1-й танковой группы вошли 11-й армейский корпус (60-я моторизованная, 76-я и 198-я пехотные дивизии), 14-й армейский корпус (5-я и 11-я танковые, 4-я горная и 294-я пехотная дивизии) и 41-й моторизованный корпус (дивизия СС «Рейх», моторизованный полк «Великая Германия», части полка «Герман Геринг»).
Кроме того, на случай осложнения ситуации 2-й армии были выделены четыре дивизии из резерва ОКХ[7]. Существенную роль в подготовке и осуществлении операции сыграл также персонал немецкого посольства в Белграде (к началу боевых действий увеличенный до 500 человек).
Италия выделила для участия в войне против Югославии 2-ю армию, которая в соответствии с планом операции должна была начать наступление на побережье Адриатического моря. Прикрытие итальянских войск с воздуха осуществляла 2-я авиаэскадра (4-й авиаполк в составе 46 истребителей MC.200 и 54-й авиаполк в составе 44 истребителей MC.200).
Венгрия выделила для участия в войне против Югославии части 3-й армии (десять бригад), три из которых были сведены в «подвижный корпус» (Gyorshadtest). В состав каждой из трёх бригад «подвижного корпуса» входил бронетанковый разведывательный батальон трёхротного состава (рота из 18 танкеток L3/35, рота из 18 танков «толди» и рота бронеавтомобилей Csaba). Кроме того, венгерские ВВС участвовали в авианалётах на территорию Югославии (бомбардировщики Ju-86K-2 бомбили Ниш и Нови Сад).
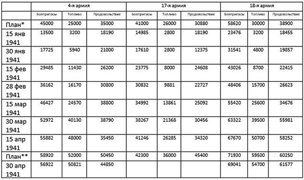
Надо отдать должное способности тыловых служб Германии, которые быстро восстановили возможности армии. Эта работа требовала большой тщательности и организованности, но и результат её налицо. Всю картину проще отобразить в сводной таблице (боеприпасы и продовольствие – в тоннах; топливо – в кубометрах)[8]:

Кроме того, имеется отчёт по 4-й армии за 15 мая 1941 года, в котором говорится, что имелось 56125 тонн боеприпасов, 51833 кубометров топлива и 50450 тонн продовольствия (ил. 242–244). То есть значительно повышенные в январе-марте 1941 года планы доставки и размещения грузов снабжения были к середине мая 1941 года практически полностью выполнены.
Например, 17-я армия, которая вошла в состав группы армий «Юг» и наступала на Украине, уже в середине апреля 1941 года имела 6,2 бк боеприпасов, 79,6 заправок топлива, 97,3 сутодачи продовольствия. 4-я армия из состава группы армий «Центр», наступавшая на Минск и Смоленск, в мае 1941 года имела 10,3 бк боеприпасов, 191,9 заправок топлива и 164 сутодачи продовольствия. Армия была снабжена очень хорошо, и запасы её значительно превышали первоначальные планы. Вероятно, склады этой армии также предназначались в качестве резерва снабжения для всей группы армий «Центр». Часть складов, около половины, были выдвинуты к границе и располагались на удалении примерно 20–30 км от неё. В Западном особом военном округе накануне войны на 24 стрелковых, 12 танковых, 6 моторизованных и 2 кавалерийских дивизии (всего 44 дивизии) имелось 6700 вагонов или 107,2 тысячи тонн боеприпасов, 80 тысяч тонн или 100 тысяч кубометров горючего, 80 тысяч тонн продовольствия и фуража. В среднем на дивизию: 2436 тонн боеприпасов, 1818 кубометров горючего и 1818 тонн продфуража. Для сравнения: в среднем дивизия из состава 4-й немецкой армии имела 5102 тонны боеприпасов, 4712 кубометров горючего и 4586 тонн продовольствия. Немецкие дивизии имели более чем вдвое больше снабжения. Тем не менее, апрельские боевые действия Германии и союзников отвлекли значительные силы и внесли коррективы в вариант развития сценария ВПО относительно СССР.

Для эффективной стратегии государства всегда обязателен максимально точный стратегический прогноз развития МО и ВПО, который не является простой экстраполяцией на будущее состояния этих обстановок на сегодняшний день. Точность такого прогноза зависит от множества факторов: точности информации, в том числе полученной от нелегальных источников, системного видения проблемы и других объективных условий и возможностей создания модели системы исходных данных, называемой иногда СИД. Но во многом это зависит и от качества тех, кто получает такую информацию, способности её творчески осмыслить и сделать правильные выводы.
Особенно трудно такая задача решается в условиях, когда правящая элита не вполне соответствует требования, не способна своевременно и адекватно реагировать на полученную информации.. Так, по оценке одного из бывших руководителей внешней разведки СССР П. Судоплатова, накануне Великой Отечественной войны у руководства СССР было более 300 качественных источников, что, однако, не позволило избежать целого ряда как военно-политических, так и военно-технических ошибок в прогнозах (справедливости ради стоит отметить, что еще хуже обстояли дела у разведки Германии и её союзников). В частности, по мнению П. Судоплатова, приход к руководству разведки Деканозова привел его к выводу, что это не была кадровая ошибка. «То была целенаправленная политика. На руководящие должности назначались некомпетентные люди, которым можно было отдавать любые приказания»[9].
Ситуация в СССР и в России нередко повторялась и позже, когда в некоторые периоды истории к власти приходили люди, которые изначально не были способны к ответственной и профессиональной работе. Принцип «Чего изволите?», к сожалению, стал нередко нормой еще при СССР в целом ряде областей управления, но стал абсолютно доминирующим, когда «демократический призыв» привел к власти в СССР и России случайных людей. К сожалению, и в последующие десятилетия этот принцип был основным при подборе кадров В. Путиным и Д. Медведевым, что неизбежно вело к тому, что назначенные люди не видели стратегической перспективы и не были нацелены на реализацию долгосрочных задач.
В частности, это вело и к недооценке возможных военно-политических последствий развития ВПО для России, о чем я немало писал в те годы[10]. На практике это выразилось в серии ошибок, например, при оценке состояния и прогнозе ВПО в 2010–2014 гг., которые были неоправданно оптимистичными, в конкретных просчетах администрации Медведева в конфликтах в Осетии и Ливии, а затем и на востоке Украины и т. д.
Во многом эти просчеты были вызваны не только низким профессиональны уровнем тех лиц в администрации, которые отвечали за такие оценки, но и их упорным нежеланием признавать реалии неизбежного обострения отношения с Западом. Это нежелание удивительно стойко игнорировало политические реалии.
При прошлом президенте США, напомним, в Пентагоне заявили о возвращении эпохи ядерного соперничества сверхдержав. Для противостояния главным соперникам – России и Китаю – администрация Дональда Трампа была готова инвестировать в новые системы вооружений, включая маломощную ядерную боеголовку для морских баллистических ракет Trident D5, и в модернизацию старых программ, включая крылатые ракеты морского базирования Tomahawk в ядерном оснащении. Та стратегия возвела ядерное оружие в неотъемлемый – по сути, ключевой – элемент системы обеспечения нацбезопасности США и расширила сценарии, при которых Вашингтон оставляет за собой право применить его. На укрепление ядерного потенциала США при прежних властях планировали в ближайшие 30 лет потратить около $1,25 трлн (из них $634 млрд до 2030 года).
Джо Байден в ходе предвыборной кампании неоднократно подвергал эти планы критике. Придя к власти, он начал пересматривать их – правда, только на бумаге. Так, в опубликованное в марте «Временное руководство по стратегии национальной безопасности» (Interim National Security Strategy Guidance) вошла фраза о необходимости «принятия шагов по снижению роли ядерного оружия в стратегии национальной безопасности США».
А Леонор Томеро в одном из выступлений весной дала понять, что Белый дом выступает за снижение запланированных расходов на модернизацию ядерных сил.
Многие эксперты в связи с этим ожидали, что в новой доктрине речь пойдет об отказе от маломощных ядерных боеголовок и крылатых ракет морского базирования в ядерном оснащении. Для России это было бы хорошо: российские официальные лица не раз критиковали эти планы, обвиняя США в понижении порога и увеличении вероятности применения ядерного оружия.
Более того, некоторые сторонники уменьшения роли ядерной компоненты не исключали, что в рамках обзора США официально объявят о политике «неприменения ядерного оружия первыми». Их прогноз базировался на все тех же предвыборных обещаниях Джо Байдена, а также на майском интервью Леонор Томеро, в котором она подтвердила: США могут кардинально пересмотреть свою нынешнюю политику, допускающую возможность ядерного удара в ответ на нападение с задействованием обычных вооружений (утвержденные президентом РФ Владимиром Путиным в 2020 году «Основы государственной политики в области ядерного сдерживания» предусматривают схожий подход). Провозгласить принцип «неприменения ядерного оружия первыми» Джо Байдена призывает и инициативная группа конгрессменов.
Однако действия администрации Байдена стали расходиться с его прежними обещаниями. Так, в обнародованном в мае законопроекте о федеральном бюджете на 2022 год нашлось место всем ядерным новациям Дональда Трампа, включая те, что глава Белого дома, будучи кандидатом в президенты, яростно отвергал. При этом запланированные расходы на ядерные вооружения уменьшились незначительно – с $44,2 млрд в 2021 году до $43,2 млрд на 2022 год[11].
Как пишет американское издание Politico, «ястребы» в Пентагоне взяли верх. Это позволило им в том числе выдавить Леонор Томеро, что делает тональность и содержание будущей ядерной доктрины США непредсказуемыми. Источники портала говорят, что сотрудники оборонного ведомства с более традиционными взглядами на ядерное оружие восприняли назначение Леонор Томеро в штыки. Один из собеседников издания в Пентагоне сказал, что ее взгляды показались им «наивными и даже иррациональными на фоне наращивания Россией и Китаем своего ядерного потенциала».
В Пентагоне Politico заверили, что даже с уходом Леонор Томеро при составлении «Обзора ядерной политики» будут учитываться разные мнения и предложения. В Совете национальной безопасности США журналистов заверили, что увольнение одного человека не повлияет на работу над документом. Но опрошенные изданием эксперты считают иначе. «Решение уволить Леонор, на мой взгляд, означает, что первая версия «Обзора ядерной политики» будет продолжением хода мысли, который мы видели при Трампе. Они (военные) взяли курс, который приведет к развороту на 180 градусов от того, что Байден говорил в период предвыборной кампании», – убежден эксперт по вооружениям, профессор Миддлберийского института международных отношений (Калифорния) Джеффри Льюис. Впрочем, другой известный американский эксперт в сфере контроля над вооружениями Джозеф Циринционе в колонке для Института Куинси по ответственному управлению государством пишет, что это сам Джо Байден отказался от своих предвыборных обещаний. «Единственная ошибка Томеро – она верила в то, что Байден говорил всерьез. Видимо из-за этой веры она и лишилась поста», – полагает эксперт[12].
_________________________________________
[1] Фридман Л. Стратегия: Война, революция, бизнес. М.: Кучково поле, 2018, с. 7.
[2] По мнению автора, в настоящее время он охватывает период 2019–2023 гг. См.: Подберёзкин А.И. «Переходный период» развития военно-силовой парадигмы (2019–2025 гг.). Часть I и Часть II. Научно-аналитический журнал «Обозреватель», 2019, №№ 4, 5, сс. 5–28 и сс. 5–31, а также: Подберёзкин А.И., Подберёзкина О.А. «Переходный период»: главная особенность – милитаризация политики. Часть III. Научно-аналитический журнал «Обозреватель», 2019, № 6, сс. 57–72.
[3] Афиногенов Д.АП., Грибин Н.П., Назаров В.П., Плетнев В.Я, Смульский С.В. Основы стратегического планирования в Российской Федерации: Учебное пособие /под общ. ред. В.П. Назарова. М.: Проспект, 2015, cc. 73-74.
[4] Югославская операция, также известна как «Операция 25», или «Апрельская война» – военная операция стран «оси» (Германии, Королевства Италии, Венгрии) и объявившей в ходе конфликта независимость Хорватии против Югославии во время Второй мировой войны. Операция длилась с 6 по 17 апреля 1941 года, когда между Германией и Югославией было подписано перемирие на основе безоговорочной капитуляции последней. Нападение осуществлялось сразу с нескольких сторон: с территорий Италии, Венгрии, Румынии, Болгарии, аннексированной итальянцами Албании, а также непосредственно с территории Германии (Австрии). Одновременно с операцией в Югославии немцы начали вторжение в Грецию.
[5] Курт фон Типпельскирх. История Второй мировой войны 1939–1945. СПб., «Полигон», 1998, сс. 192–200.
[6] Р. Эрнест Дюпюи, Тревор Н. Дюпюи. Всемирная история войн В 4-х тт. Кн. 4 (1925–1997). СПб.: Полигон; М.: АСТ, 1998, с. 153.
[7] Резерв штаба сухопутных войск Германии
[8] Верхотуров Д.. Снабжение немецких войск в начале войны / Военное обозрение, 21 января 2021 г. / https://topwar.ru/179315-s-chetkostju-chasovogo-mehanizma-snabzhenie-nemeckih-vojsk-v-nachale-vojny.html
[9] Судоплатов П. Разведка и Кремль. Записки нежелательного свидетеля. М.: Родина, 2021, с. 62.
[10] См. в том числе и специальную работу на эту тему: Подберёзкин А.И. Состояние и долгосрочные военно-политические перспективы развития России в XXI веке. М.: Изд. дом «Международные отношения», 2018. 1596 с.
[11] Черненко Е. Мисс Томеро сочли недостаточно ядерной // Ъ Коммерсант, 29.09.2021 / https://www.kommersant.ru/doc/5006953
[12] Черненко Е. Мисс Томеро сочли недостаточно ядерной // Ъ Коммерсант, 29.09.2021 / https://www.kommersant.ru/doc/5006953