Сценарий развития МО, основанный на сосуществовании и противоборстве разных центров сил, неизбежно предполагает развитие практики союзов и коалиций. Такая "коалиционная стратегия" успешно реализуется многие годы США и декларируется в качестве ставки на будущее.
Следует подчеркнуть, что используемые в этой шкале категории имеют свои эквиваленты в политической лексике и истории. Так, в разные исторические периоды лишь относительно небольшое количество государств могло претендовать на статус сверхдержавы. В Древнем мире классическим примером сверхдержавы можно считать Римскую империю. Хотя империя Александра Македонского в древней истории и империя Наполеона в Новое время на пике своего могущества просуществовали относительно недолго, они также могут служить примером приближения к статусу сверхдержавы. Классическая трактовка этого термина относится к периоду после Второй мировой войны, когда возникла биполярная система с США и СССР как сверхдержавами на ее полюсах. В настоящее время США претендуют на то, чтобы быть единственной сверхдержавой современного мира. Вместе с тем можно ожидать появления новой европейской сверхдержавы в лице ЕС, быть может, на этот статус будет претендовать и Китай[1].
"Стоит также обратить внимание и на то, что государство может обладать смешанным набором характеристик по девяти факторам. Будучи по одному фактору великой державой, оно может быть малым государством или региональной державой по другим факторам. Будучи сверхдержавой по территориальному статусу, государство может быть слабым по фактору "Народонаселение" и т.д. Комбинаций здесь много. Вероятно, между разными группами параметров существуют свои корреляции. Они требуют специальных исследований".
"Термин, определяющий статус государства как великой державы, по мнению авторов "Рейтинга", также достаточно узнаваем. Исторически он возник раньше, чем термин "сверхдержава". В разные эпохи великими державами мира считались Священная Римская империя, Португалия, Испания, Великобритания, Франция, Пруссия, Австро-Венгрия и т.д."[2]. Вместе с тем статус "великой державы" в XXI веке стремительно меняется. По целому ряду критериев Мексика, Индонезия, Бразилия и ряд других стран уже превосходят традиционные великие державы - Англию, Францию и Германию, - а во второй половине XXI века можно будет констатировать, что к группе великих (или "не менее великих") держав добавятся Египет, Нигерия, Аргентина и др. страны.
В этой связи необходимо регулярно производить мониторинг и переоценку мировых сил и угроз, которые имеют тенденцию "инерции мышления", что хорошо видно на примере военных исследований и нормативных документов. Не случайно заместитель секретаря Совбеза РФ М. Попов признал необходимость пересмотра до конца 2014 года Военной доктрины России, принятой в 2010 году[3].
Вызывает сомнение утверждение авторов "Глобального рейтинга" о том, что "В современных международных отношениях стратегическая субъектность государств обеспечивается только за счет принадлежности к крупным торгово-экономическим мегаблокам (ЕС, ССТ, МЕРКОСУР и т.д.). Даже для США актуальным является построение собственных торгово-экономических блоков (ССТ/НАФТА). Столь же важно для международного влияния Китая развитие китаецентричной зоны свободной торговли в Восточной Азии. Традиционные великие державы, такие как Германия, Великобритания и Франция, для сохранения своего влияния в системе международных отношений развивают межгосударственное образование - ЕС, который является одним из явных претендентов на роль сверхдержавы современного мира. Европейский союз можно рассматривать как объединение великих, региональных и малых держав, каждая из которых самостоятельно (в том числе и по демографическим показателям) не в состоянии играть важную роль на мировой арене и вынуждена искать пути сохранения своего влияния за счет интеграции с экономически и культурно близкими ей партнерами[4].
"Торгово-экономические мегаблоки" всегда играли второстепенное значение, уступая первенство таким коалициям и союзам, которые формировались на основе общей системы ценности, либо общности цивилизационных (национальных) интересов, где торгово-экономическая выгода оказывалась подчиненным соображением. Евросоюз - типичный пример.
Претендующая на статус великой державы Бразилия - один из инициаторов и наиболее активных участников общего рынка стран Южного конуса (МЕРКОСУР). Россия, учитывая ее демографическую слабость, имеет шансы упрочить свое положение как великой державы только в составе Евразийского союза[5].
[6]
Уникальные ниши великих держав особого геополитического расположения занимают сегодня только Япония и Индия. Япония, не сумев в полной мере реализовать свое финансовое могущество, все более проигрывает экономическое и геополитическое соревнование в Восточной Азии набирающему влияние Китаю. Проигрывая демографически и не будучи в состоянии построить полноценные вооруженные силы, Япония в тенденции останется достаточно мощной державой, но преимущественно регионального масштаба. Индия в силу особенностей своего геополитического положения - зажатости между региональными соперниками, превосходящими ее или сопоставимыми с ней по мощи (Китаем и Пакистаном), ограничена в возможностях построения собственной зоны влияния в Азии. Поэтому она не может в обозримом будущем претендовать на статус сверхдержавы и будет вынуждена и в дальнейшем выстраивать свое позиционирование в мире на основе баланса интересов с ведущими мировыми центрами силы.
Термин "региональная держава" возник относительно недавно в Новейшей истории. В нашей классификации под ним понимается государство, значимое прежде всего в региональном масштабе, но не обладающее важными атрибутами великой державы (объем ВВП, уровень технологического развития, статус в международных союзах, качество социального капитала). Термин "малое государство" обозначает страны, значимость которых даже в региональном измерении невелика.
В десятибалльной шкале уровень сверхдержавы соответствует диапазону значений 10-8 (или "высокое"), великой державы - 8-5 (или "выше среднего"), региональной державы - 4-2 (или "среднее"), малое государство - 1 (или "ниже среднего").
Конечным интегральным показателем, помимо значений девяти базовых факторов, выступает интегральный показатель мощи (ИПМ, IPI - Integral Power Indicator) государства, позволяющий обобщить полученные значения девяти факторов государственной мощи.
Для расчета интегральных показателей строится восходящая иерархия, в соответствии с которой на каждом из выделяемых уровней происходит обобщение показателей предыдущего уровня и их сведение к единому интегральному показателю.
Для реализации этой схемы каждый из параметров нижнего уровня (начиная с отдельных частных параметров) оценивается коэффициентом относительной важности (сопоставляется с другими параметрами, используемыми при оценке значения интегрального показателя).
Общая оценка выводится по формуле:

где:
l - количество оцениваемых частных параметров;
Mi - коэффициент важности частного параметра в общей оценке;
Zi - значение частного параметра в баллах;
Zy - значение интегрального показателя заданного уровня.
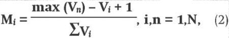
Коэффициент важности (Mi) для частных параметров выявляется на основе метода дробей Фишберна, который может быть представлен универсальной формулой (2):

где:
Mi - весовой коэффициент значимости i-го показателя;
Vi - определяемый экспертом ранг важности i-го показателя;
max (Vn) - максимальное (то есть наихудшее) значение ранга важности рассматриваемых показателей;
N - общее количество показателей[7].
______________________
[1] Глобальный рейтинг интегральной мощи 100 стран. Доклад-2012 к обсуждению. 3-е издание, переработ. и дополн. - М.: Международная Академия исследований будущего, Институт экономических стратегий, 2012. С. 6.
[2] Глобальный рейтинг интегральной мощи 100 стран. Доклад-2012 к обсуждению. 3-е издание, переработ. и дополн. - М.: Международная Академия исследований будущего, Институт экономических стратегий, 2012. С. 6.
[3] Россия уточняет военную доктрину // Российская газета. 2014. 2 сентября.
[4] Глобальный рейтинг интегральной мощи 100 стран. Доклад-2012 к обсуждению. 3-е издание, переработ. и дополн. - М.: Международная Академия исследований будущего, Институт экономических стратегий, 2012. С. 6.
[5] Глобальный рейтинг интегральной мощи 100 стран. Доклад-2012 к обсуждению. 3-е издание, переработ. и дополн. - М.: Международная Академия исследований будущего, Институт экономических стратегий, 2012. С. 6.
[6] Глобальный рейтинг интегральной мощи 100 стран. Доклад-2012 к обсуждению. 3-е издание, переработ. и дополн. - М.: Международная Академия исследований будущего, Институт экономических стратегий, 2012. С. 7.
[7] Глобальный рейтинг интегральной мощи 100 стран. Доклад-2012 к обсуждению. 3-е издание, переработ. и дополн. - М.: Международная Академия исследований будущего, Институт экономических стратегий, 2012. С. 8.