Украинский кризис конца 2013 - начала 2014 гг. вывел КНР в центр
мировой политики без каких-либо усилий со стороны Пекина. Китай
еще в прошлом десятилетии превратился в альтернативный Западу
полюс мировой экономики. Теперь же, сохраняя сдержанную и
отстраненную позицию, он самим фактом своего существования оказал
решающее влияние на развитие кризиса. Китайские официальные власти предпочитали избегать развернутого изложения мнения, но даже
мельчайшие оттенки интонации заявлений китайских дипломатов были
предметом пристального внимания на Западе и в России[1]
В. Кашин
Формирование новых мировых центров силы неизбежно ведет к созданию новых политических, экономических и военных союзов и коалиций во главе с новыми цивилизационными лидерами. При этом было бы глубоким заблуждением думать, что в основе этих союзов будут лежать только экономические интересы или выгода, как нередко говорится сегодня. Эта схожесть, даже общность интересов будет предполагать прежде всего общность интересов безопасности, цивилизационную общность (систем ценностей) и геополитическую общность, что можно продемонстрировать на следующем рисунке.

1. США - НАТО - ТАП - ТТП.
2. КНР - страны ЦА, АСЕАН, Ближнего и Среднего Востока, Африки и Л. Америки.
3. БРИКС - (возможно в расширенном составе), как политический, экономический и иной союз.
4. "Исламский халифат" - как союз большинства мусульманских государств и организаций.
Нетрудно обнаружить, что (за исключением БРИКС) политическая вероятность таких коалиций совпадает во многом с их цивилизационной идентичностью, что также означает, что в эволюции военно-политической обстановки цивилизационные и гуманитарные факторы будут приобретать все возрастающее значение.
Таким образом, рассматривая возможность реализации нескольких сценариев (в данном случае развития отношений между Россией и США и их влиянием на формирование МО), мы констатируем, что:
- существует большое количество возможных и вероятных сценариев развития МО в мире, когда участвуют все основные субъекты (акторы) МО и влияют основные тренды мирового развития. Их анализ и прогноз необходимы для того, чтобы не ограничиваться только несколькими группами факторов. Количество сценариев и их вероятность определяется как количеством участников МО, так и системой взаимоотношений между ними;
- основные тенденции в развитии МО определяются тенденциями в развитии ЧЦ, которые предопределяют границы, вероятность и характер сценариев развития МО, детерминируют тенденции мирового развития, значение и роль основных участников и других акторов МО;
- существует достаточно ограниченное количество групп и подгрупп сценариев развития МО, определяемых на основе современного анализа МО, политики и потенциалов отдельных государств, основными национальными интересами и мотивами поведения правящих элит;
- Анализ существующих сценариев развития позволяет сделать их вероятностный прогноз, существенно ограничив количество их вариантов на среднесрочную и долгосрочную перспективу;
- смена мировых парадигм развития, соотношения сил и политик отдельных субъектов МО может вести к изменениям в сценариях развития МО в существенной их части, превращения бывших врагов в союзников и наоборот, в зависимости от совпадения (или несовпадения) основных групп интересов к тому периоду времени.
Анализ и стратегический прогноз сценариев развития МО дает серьезные основания для анализа и прогноза отдельной составной части МО - военно-политической обстановки (ВПО), которая, с одной стороны, является одной лишь частью МО, но с другой, проникает во все другие области МО - политику, экономику, гуманитарные отношения между этносами, нациями и государствами.
Естественно, что для целей стратегического прогноза сценариев развития МО в долгосрочной перспективе важно оценить, каким государственным (цивилизационным) потенциалом будет обладать тот или иной будущей центр силы. Для этого можно использовать разные методики. В качестве иллюстрации можно привести пример с методикой ряда авторов, разработанной в начале XXI века.
Оценивая мощь государства или союза (Таджикистана и ЕС, например), авторы могут сделать заключение о приблизительном соотношении сил, рассчитав его по предложенной ими методике, о которой уже говорилось выше.
[2]
[3]
Суть этой методики применительно к союзам (коалициям) и центрам силы такова.
Оценка статуса и прогнозной динамики процесса государственного развития осуществляется в модели стратегической матрицы по девяти базовым факторам.
1. Управление.
2. Территория.
3. Природные ресурсы.
4. Население.
5. Экономика.
6. Культура и религия.
7. Наука и образование.
8. Армия (вооруженные силы).
9. Внешняя политика (геополитическая среда).
Обоснование выбора именно этих факторов более подробно
изложено в более ранних работах, опубликованных под эгидой МЛ СУ, МАИБ и ИНЭС.
Для графической интерпретации получаемых результатов используется энниаграмма (окружность с вписанным в нее девятиугольником - геометрический символ, используемый в некоторых религиях, рис.).
Графическое отображение много факторной модели позволяет наглядно продемонстрировать стратегическую траекторию трансформации государства на заданном временном отрезке. При этом значения факторов определяются как по имеющимся статистическим данным, оцениваемым по специально разработанным критериальным шкалам, так и на основе экспертных оценок. Каждый из используемых частных параметров оценивается коэффициентом относительной важности и сопоставляется с другими параметрами.
Исследованиями, проведенными в отношении исторической динамики и прогноза развития по более чем 50 странам, выявлено, что одни факторы обнаруживают сравнительно меньшую, другие - сравнительно большую амплитуду изменений. К первым относятся территория, природные ресурсы, население, ко вторым - внешняя политика и синтезирующий все эти элементы фактор управления, который находится в зависимости от качества лидерства и эффективности системы государственного управления и ее координированности с корпоративным и общественным управлением.
Использование многофакторной модели позволяет судить об устойчивости государства, рассматриваемого как большая система. Чрезмерное развитие одних факторов при существенном отставании других создает риски дестабилизации системы. Идеальная модель устойчивого развития государства - многогранник, вписанный в круг, с равномерным и по возможности более развитым уровнем факторов его мощи.

Безусловно, в различные периоды у стран возникает потребность ускоренного развития как необходимого условия сохранения жизнеспособности системы. При этом государство должно идти на форсированную эскалацию значений отдельных факторов с целью формирования импульса развития. Но и при этом желательным состоянием остается достижение на более высоком уровне баланса факторов с компенсацией, при необходимости, слабости одних факторов повышенными значениями других.
Функции управления в этом случае отводится ключевая роль мобилизации ресурсов страны для достижения амбициозных целей ускоренного, прорывного развития. Реализация задачи в этом случае требует разработки эффективной стратегии активизации факторов, обеспечивающих реализацию сценария ускоренного развития: экономики, науки и образования, внешней политики.

Сознательное форсирование динамики системы в интересах ее ускоренного развития невозможно без общественного согласия в отношении целей и механизмов реализации стратегии ускоренного развития. В этом контексте культурно-духовной сфере развития общества отводится ключевая роль в обеспечении успеха любых реформ, нацеленных на модернизацию страны.
Каждый из базовых факторов рассматривается нами в соответствии с нечеткой четырехзначной топологической шкалой, численные значения которой находятся в диапазоне от 1 до 10 (табл.).
Следует подчеркнуть, что используемые в данной шкале категории на сегодняшний день имеют достаточно определенные значения в политической лексике. Так, если говорить о термине "сверхдержава", то в разные исторические периоды лишь относительно небольшое количество государств могло претендовать на этот статус. В Древнем мире классическим примером "сверхдержавы" можно считать Римскую империю. Хотя империя Александра Македонского в древней истории и империя Наполеона в новое время на пике своего могущества просуществовали относительно недолго, они также могут служить ориентиром приближения к статусу сверхдержавы. Классическое восприятие этого термина относится к периоду после Второй мировой войны, когда возникла биполярная система, на полюсах которой находились США и СССР, имевшие статус сверхдержав. В настоящее время США претендуют на то, чтобы быть единственной сверхдержавой современного мира. Вместе с тем при дальнейшем росте интеграционных процессов в рамках ЕС можно ожидать появления новой европейской сверхдержавы, а в не столь отдаленной перспективе на этот статус может претендовать и Китай.
Термин, определяющий статус государства как "великой державы", также достаточно узнаваем. Исторически он возник раньше, чем термин "сверхдержава". В разные эпохи великими державами Европы считались Священная Римская империя, Португалия, Испания, Великобритания, Франция, Пруссия, Австро-Венгрия и т.д. В исторической науке принято мнение, согласно которому Россия впервые заявила свои претензии на статус великой державы в эпоху Петра I. Однако Древнерусское государство в период наивысшего могущества и Московское царство до начала Ливонской войны, если сравнивать их с соседними государствами Европы и Азии, также соответствовали этому статусу.
Термин "региональная держава" возник относительно недавно - в новейшей истории. В нашей классификации под этим термином понимается государство, значимое прежде всего в региональном масштабе, но не обладающее важными атрибутами великой державы (объем ВВП, статус в международных союзах, население и т.д.).
Термин "малое государство" применяется к странам, значимость и территория которых даже в региональном измерении невелики.
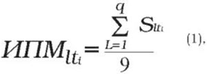
Помимо перечисленных девяти базовых факторов в рамках используемой методологии применяется интегральный показатель мощи ИПМ (integral power indicator - IPI) государства, позволяющий обобщить полученные значения девяти факторов государственной мощи.
Значения интегрального показателя мощи государства определяется как

где
Sitj - статус государства по фактору m для момента времени tj.
Одновременно каждый из выбранных нами девяти основных факторов формируется из системы параметров, которые представлены на рис. При этом значения ряда факторов ("Территория", "Население", в значительной мере - "Экономика") определяются исходя из существующих статистических данных в соответствии с разработанными критериальными шкалами.
Для построения стратегических матриц интегральной мощи 50 государств мира в качестве определяющего показателя экономического развития используется значение ВВП государства, рассчитанное по паритету покупательной способности.
Значения других факторов рассчитываются на основе обобщенных экспертных оценок. При этом каждый из используемых частных параметров оценивается коэффициентом относительной важности (каждый из параметров сопоставляется с другими параметрами, используемыми при оценке значения фактора).
В расчетах подразумевается, что оценка "высокое" соответствует развитию оцениваемого фактора на уровне "сверхдержавы", "выше среднего" - "великой державы", "среднее" - "региональной державы" и "ниже среднего" - "великой державы" соответственно.

Общая оценка выводится по формуле:

где
1- количество оцениваемых частных параметров;
mi - коэффициент важности частного параметра в общей оценке;
Zp - значение частного параметра в баллах. Коэффициент важности (mi) для частных параметров выявляется на основе метода иерархий.
Приведенный методический аппарат обеспечивает интерпретацию экспертных оценок частных показателей и их конвертацию в интегральные оценки базовых факторов "Стратегической матрицы".

Устойчивость. Широта социальной базы поддержки системы управления и способность системы к действиям в непредвиденных и кризисных условиях, к преодолению деструктивных ситуаций внешнего и внутреннего характера.
Адаптивность. Способность системы управления быстро реагировать и приспосабливаться к новому целеполаганию в условиях динамично меняющих внешних и внутренних вызовов.
Способность к лидерству. Способность системы управления не только соответствовать общественным ожиданиям, но и активно участвовать в формировании социальных потребностей, направлять общественное развитие, имея в идеале своими целями солидарность общества и его развитие.
Эффективность элитообразования. Способность системы управления готовить не только управленческие кадры, но и научную и культурную элиту общества, которая, хотя и опосредованно, но весьма активно принимает участие в формировании общественных ожиданий, а также в обосновании и подготовке важных управленческих решений.
Последовательность в достижении поставленных целей, которая, собственно, и является оценкой эффективности применяемых управленческих решений при получении желаемого результата в развитии государства.
Каждое из перечисленных свойств системы государственного управления обладает различной динамикой развития. Более того, для различных периодов государственного и общественного развития динамика изменения этих параметров и их сочетания различны.
____________________
[1] Кашин В. Благожелательный баланс // Россия в глобальной политике. 2014. Апрель. Т. 12. N 2. С. 102.
[2] Глобальный рейтинг интегральной мощи 50 ведущих стран мира. Доклад к обсуждению / под научн. ред. А. Агеева и др. М. 2007. С. 50.
[3] Глобальный рейтинг интегральной мощи 50 ведущих стран мира. Доклад к обсуждению / под научн. ред. А. Агеева и др. М. 2007. С. 50.